Termistores
Son resistencias cerámicas semiconductoras fabricadas de óxidos metálicos. Tienen como ventaja su alta sensibilidad, su diminuto tamaño y su velocidad de respuesta.
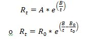
Para termometría se usan los NTC (coeficiente de temperatura negativo) y se usa la siguiente fórmula para calcular la temperatura a partir de la resistencia medida:
Donde R0 es la resistencia a 25°C o 0°C y t0 es 25°C o 0°C.
Estas ecuaciones anteriores son válidas solo en un rango limitado o con bajas exactitudes. Una mejor aproximación es:
Los buenos termistores pueden tener estabilidades de 0.01°C al año y un rango de -90 a 130°C.
Termómetros de líquido en vidrio
Un termómetro de liquido en vidrio es un tubo de vidrio donde un liquido se expande al aumentar la temperatura y mide la temperatura sobre una escala graduada.
Principales partes de un termómetro de líquido en vidrio
Bulbo
reservorio que contiene el líquido termométrico
Vástago
Tubo de vidrio que tiene un orificio capilar donde el líquido se desplaza con el cambio de temperatura.
Escala auxiliar
Una escala de rango limitado para verificar el cero del termómetro.
Cámara de contracción
Un agrandamiento en el orificio capilar para hacer el termómetro más corto.
Línea de inmersión
Una línea que marca hasta donde se deben sumergir los termómetros de inmersión parcial.
Escala principal
Una escala permanente en la cual se lee la temperatura del termómetro.
Cámara de expansión
Un agrandamiento en la punta del tubo capilar donde el líquido puede fluir si la temperatura excede la de la escala. No es deseable que el líquido llegue a esta cámara. Se debe evitar sobrecalentar el termómetro.
Tipos de inmersión
Inmersión parcial
El termómetro se sumerge hasta un punto. En general poseen una línea que muestra el punto hasta el cual se deben sumergir.
Inmersión total
El termómetro se sumerge hasta que el líquido quede completamente sumergido y en la línea de nivel del baño.
Inmersión completa
Se sumerge completamente el termómetro.
Lectura de termómetro
El termómetro debe ser leído colocando el ojo a un ángulo recto con la escala.
El menisco debe ser leído en la porción plana del mismo. En los termómetros de mercurio esto significa en la parte superior del menisco y en los de compuestos orgánicos en la inferior.
En el caso de interpolar entre mediciones se debe realizar entre los centros de las marcas y no entre los bordes de las mismas.
El termómetro debe ser golpeado muy ligeramente antes de tomar la lectura para permitir que el líquido que puede estar frenado por rozamiento llegue a su posición “verdadera”.
Errores en termómetros de líquido en vidrio
Conducción y masa térmica
Como en general estos termómetros tienen mayor masa que otros tienden a tener un tiempo mayor de estabilización que otros equipos por lo cual no son convenientes para usar en medios no estables.
Efecto de presión
Debido a la delgadez del vidrio el volumen del bulbo es sensible a los cambios de presión atmosférica. Esto puede notarse en termómetros de resolución alta (0.01°C) o si un termómetro es usado en forma horizontal, ya que los termómetros son ajustados y calibrados para ser usados en posición vertical.
Histéresis y deriva del bulbo
Dado que el bulbo es de vidrio y que la estructura cristalina del vidrio varía con la temperatura, el volumen del bulbo (y las lecturas) dependen de la historia térmica del termómetro. Esto puede afectar las lecturas de los termómetros con resolución 0.05°C o mejores. Hay dos efectos a tener en cuenta: Contracción en el tiempo e histéresis.
La contracción se da debido a la naturaleza casi liquida del vidrio que hace que el bulbo se achique con el tiempo, produciendo una lectura mayor en todos los puntos de la escala. Este error provoca un offset igual en toda la escala del termómetro.
La histéresis se debe a que el vidrio adquiere la estructura cristalina de alta temperatura mucho más rápidamente que la de baja temperatura (puede llegar a tardar meses en volver a su estructura) debido a que alta temperatura las moléculas tienen mayor velocidad. Un cambio de aproximadamente 100°C puede introducir una histéresis de 0.1°C en un buen termómetro. Para evitar esto los termómetros deben usarse solo a una temperatura, o en subida dejando descansar el tiempo máximo posible entre usos si se quiere usar a más bajas temperaturas. Otra forma es realizar una verificación en cero cada vez que se usan.
Falta de uniformidad del capilar
El capilar debe ser uniforme a lo largo recorrido. Cualquier irregularidad en el capilar introducirá errores y pérdida de linealidad en las mediciones. Cuando existen cámaras de contracción estas deben estar lejos de la escala del termómetro para evitar errores.
Fricción
La fricción ocurre debido a la tensión superficial del líquido con el vidrio. La fricción se reduce golpeando suavemente el termómetro en el momento de su lectura.
Columna rota
A veces la columna se rompe, queda una burbuja en el medio, y las lecturas son mayores a las reales. Esto debe ser identificado antes de tomar lecturas y puede ser arreglado llevando todo el líquido a la cámara de contracción o aplicando fuerza centrífuga (tener cuidado de no golpear nada).
Columna rota a 22°C, incrementa la lectura del termómetro en 1°C
Errores de lectura
Los termómetros deben ser leídos de forma cuidadosa intentando mantener el paralelismo y leyendo en la parte plana del menisco.
Este error puede ser más importante que la resolución del termómetro. En los buenos termómetros se puede interpolar entre las marcas del termómetro, permitiendo mejorar la resolución, pero se debe tener en cuenta el error de paralaje y que las lecturas se realizan entre los medios de las marcas y no entre los extremos de las marcas.
La lectura entre las posiciones centrales da una diferencia de 0.1°C con respecto a si se toma desde los bordes internos de las lineas.
Errores de escala
La expansión de los líquidos no es totalmente lineal con la temperatura, esto introduce errores de linealización si el termómetro es usado en una escala amplia. Para evitar esto se imprimen en el termómetro escalas cortas por rango que se unen y ayudan a linealizar. Otros errores de escala son debidos a la fabricación de los termómetros, como el error debido a la impresión desalineada de la escala, o a la mala división de la escala.
Uso de termómetros de líquido en vidrio
Algunos puntos a tener en cuenta en el uso de los termómetros de líquido en vidrio:
- No deje que el termómetro se golpee
- Mantenga el termómetro vertical y no lo deje reposando en el bulbo
- Mantenga el bulbo protegido cuando no está en uso
- Mantenga el termómetro por debajo de la temperatura máxima
- Use el termómetro en el mismo rango de temperaturas siempre y/o en temperaturas ascendentes
- Golpee suavemente el termómetro antes de tomar lecturas para evitar error de fricción.
- Divida el intervalo de la escala desde los centros de la graduación y no desde los bordes




